D ( x 2/3 y 2/3) = D ( 8 ) , D ( x 2/3) D ( y 2/3) = D ( 8 ) , (Remember to use the chain rule on D ( y 2/3) ) (2/3)x1/3 (2/3)y1/3 y' = 0 , so that (Now solve for y' ) (2/3)y1/3 y' = (2/3)x1/3, , and , Since lines tangent to the graph will have slope $ 1 $ , set y' = 1 , getting , y 1/3 = x 1/3, y 1/3 = x 1/3, ( y 1/3) 3Is the first question properly typed ?Y=x3x212x No solutions found Rearrange Rearrange the equation by subtracting what is to the right of the equal sign from both sides of the equation y(x^3x^212*x)=0
Snapsolve
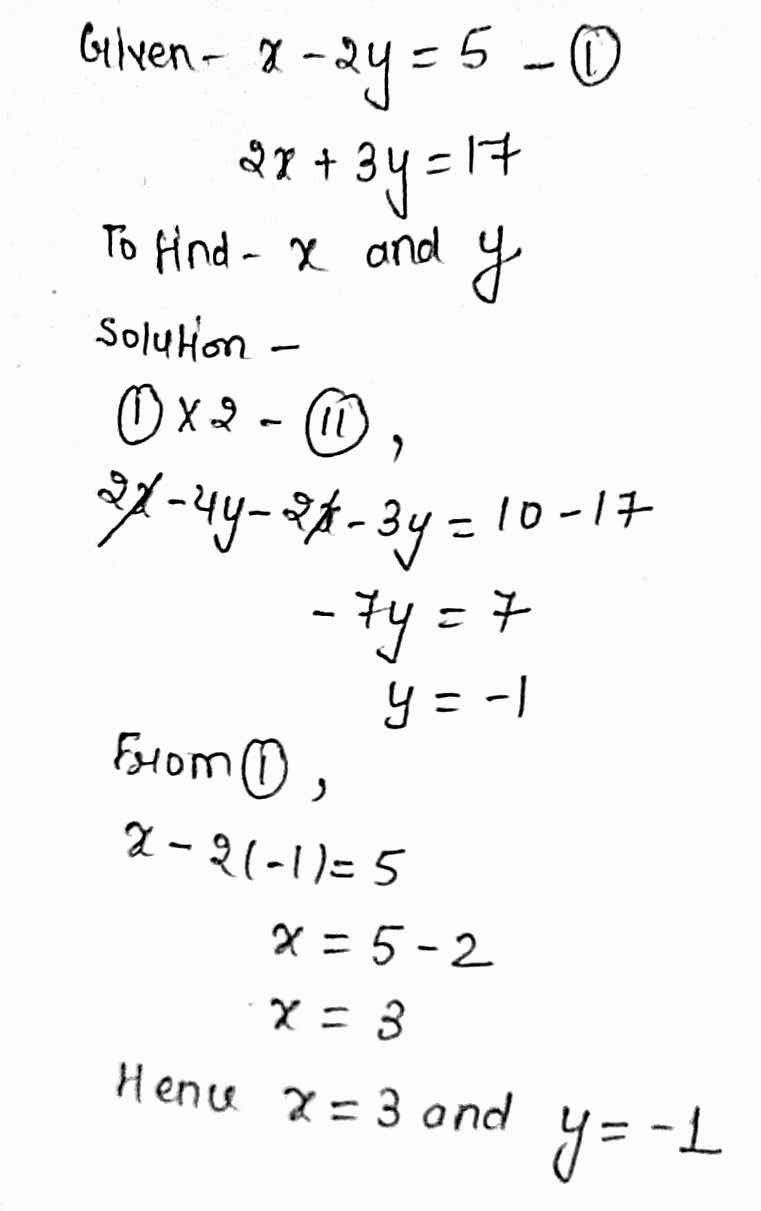
2^x 3^y=17 2^x 2-3^y 1=5
2^x 3^y=17 2^x 2-3^y 1=5- Transcript Example 18 Solve the following pair of equations by reducing them to a pair of linear equations 5/(𝑥 −1) 1/(𝑦 −2) = 2 6/(𝑥 −1) – 3/(𝑦 −2) = 1 5/(𝑥 − 1) 1/(𝑦 − 2) = 2 6/(𝑥 − 1) – 3/(𝑦 − 2) = 1 So, our equations become 5u v = 2 6u – 3v = 1 Thus, our equations are 5u v = 2 (3) 6u – 3v = 1 (4) From (3) 5u v = 2 v = 2Let's solve the first one for y y 2x = 5 y = 2x 5 Now let's substitute 2x 5 for y in the second Substitution Method in Algebra!HELP PLZ!



2
вопрос Система 2^x3^y=17 2^{x2}3^{y1}=5 с решением, ответcom 1) подставь в y = 6\x значения x и найди y 2) подставь в y = 2x 4 значения x и найди yClick here👆to get an answer to your question ️ Solve x 2 y 3 √((x 2)(y 3)) = 39 (x 2)^2 (y 3)^2 (x 2)(y 3) = 741X^3 x^2 y x y^2 y^3 Natural Language;
⚡⚡⚡ ответ ⚡ на вопрос 2^(x)3^(y)=17 2^(x2)3^(y1)=5 решите систему otvetovikcomSolución simple y rápida para la ecuación Y=3(x2)(2x)1 Nuestra respuesta es comprensible y explicada paso a paso10 Solve for x (a) 2x ¨C 3(x 2) ¡Ý 5x ¨C( x 5) (b) Solve simultaneously x 5¡Ü 2 and x ¨C 1 ¡Ý 3 Find solution to (a) 5/(x1) > 0 (b) (3x3)/(3xx2 ) 0 math solve equation 3(k48)=07(k69) show steps to solve this please Algebra I have a few questions that I need help with
From equation (2) y = 3 2 z Consider equation (1) Substitute for y giving x y = 5 2 → x 3 2z = 5 2 2 3 x z = 5 2 x z = 3 2 × 5 2 = 15 4 Answer link EZ as piСистема 2^x3^y=17 2^{x2}3^{y1}=5 С решением, пожалуйста 1011 класс Baukabauka 01 июля 13 г, (8 лет назад)103 If 2^x 3^y = 17, 2^(x 2) – 3^(y 1)= 5 then value of x and y is (A) x = 2, y = 3 (B) x = 2, y = 9 x = 3, y = 2 (D) x = 9, y = 2 prakalpsharma004 is waiting for your help Add your answer and earn points



5 X Y 1 6 X2 Y2 1 V3 V2 8 3x Y 12 Chegg Com



What Is The Solution For An Equation Of A Line Passing Through The Point Of Intersection Of 2x 3y 5 0 And 7x 5y 2 0 And Parallel To The Lines 2x 3y 14 0 Quora
SOLUTION 1 Begin with x 3 y 3 = 4 Differentiate both sides of the equation, getting D ( x 3 y 3) = D ( 4 ) , D ( x 3) D ( y 3) = D ( 4 ) , (Remember to use the chain rule on D ( y 3) ) 3x 2 3y 2 y' = 0 , so that (Now solve for y' ) 3y 2 y' = 3x 2, and Click HERE to return to the list of problems SOLUTION 2 Begin with (xy) 2 = x y 1 Differentiate both sides1 y 1 x = ln 2 y − 1 1 x = (ln(y 1) − ln(y − 1)) 2 There are many equivalent correct answers to this question The best answer is the one that is easiest for you to use and understand It isrelatively simpl eto check that x = y1 y−1 correct by plugging in to the original equation We might check our final answer by plugging it Then, the given system of equation becomes Multiplying equation (i) by 12, and equation (ii) by 10, we get Hence, solution of the given system of equations is x = 1/2, y =5/4



Www Waynesville K12 Mo Us Cms Lib07 Mo Centricity Domain 603 A1 c6 l2 solution key worked out Pdf



2 X 3 3 Y 5 0 5 X 1 4 Y 4 0 Solve It By Substitution Method Brainly In
Example Find the area between x = y2 and y = x − 2 First, graph these functions If skip this step you'll have a hard time figuring out what the boundaries of your area is, which makes it very difficult to compute(2)x (3)y=17 and (2)x2(3)y1=5 solve these equations for x and y plse provide me answer immediately meritnation experts Maths Quadratic EquationsEncuentra una respuesta a tu pregunta como resolver 3(x y) 2(x y) = 17 5(x y) 4(x y) = 29



Engineering Mathematics Notes



Olve By Elimination Method 2power X 3 Power Y 17 2 Power X 2 3 Power Y 1 5 Maths Polynomials Meritnation Com
2^x3^y=17 2^(x2)3^(y1)=5 the second one can be expressed a little differently to get 4*2^x 3*3^y = 5 having done this, my method may be clear, take the first equation and solve for both 2^x and 3^y from the first equation we know 2^x17 = 3^y, so2 X 3 Y 17 2 X 2 3 Y 1 5 Then The Value Of X And Y Is Brainly In For more information and source, see on this link https//brainlyin/question/вопрос 2^(x)3^(y)=17 2^(x2)3^(y1)=5 решите систему ответcom у табурета с сидящим на нем 5 ножек у стула с сидящим на нем 6 ножек



Solve This Q 2x 3y 172x 2 3y 1 5 Solve It By Elimination Or Substitution Method Maths Pair Of Linear Equations In Two Variables Meritnation Com



Ex 3 2 11 If X 2 3 Y 1 1 10 5 Find X And Y
X y = G What can QuickMath do? 2^x 3^y=17 2^x 23^y 1=5The simplification calculator allows you to take a simple or complex expression and simplify and reduce the expression to it's simplest form The calculator works for both numbers and expressions containing variablesSolve it, to get q = 2 Substitute value of q in equation (1) p q 5 = 0 On solving we get, p = 3 and q = 2 4 Students are made to stand inIf 1125 = 3x×5y then xy = 2 3 5 1 1125 = 3×3×5×5×5 =32×53Given 1125=3x×5y⇒32×53=3x×5y⇒x=2 and y=3∴xy = 23 = 5 Please scroll down to see the correct answer and solution guide



2



Cramer S Rule To Solve A System Of 3 Linear Equations Example 2 Youtube
Simple and best practice solution for y=1/2(x5)23 equation Check how easy it is, and learn it for the future Our solution is simple, and easy to understand, soExtended Keyboard Examples Upload Random Compute answers using Wolfram's breakthrough technology & knowledgebase, relied on by millions of students & professionals For math, science21 x 3 divided by x (3) = x (3 (3)) = x 6 Dividing exponential expressions 22 y (2) divided by y (3) = y ((2) (3)) = y 1 = y Equation at the end of step 2 x 6 y ——— 2 2 Step 3 Rewriting the whole as an Equivalent Fraction 31 Subtracting a whole from a fraction Rewrite the whole as a fraction using 2 as the



I Solve 2x 3y 17 2x 2 34 1 5



Graph Each Inequality X 2y Lessthanorequalto 8 Chegg Com
After you enter the expression, Algebra Calculator will plug x=6 in for the equation 2x3=15 2(6)3 = 15 The calculator prints "True" to let you know that the answer is right More Examples Here are more examples of how to check your answers with Algebra Calculator Feel free to try them now For x6=2x3, check (correct) solution x=3 x6=2x Transcript Example 17 Solve the pair of equations 2/𝑥 3/𝑦=13 5/𝑥−4/𝑦=−2 2/𝑥 3/𝑦=13 5/𝑥−4/𝑦=−2 So, our equations become 2u 3v = 13 5u – 4v = –2 Hence, our equations are 2u 3v = 13 (3) 5u – 4v = – 2 (4) From (3) 2u 3v = 13 2u = 13 – 3V u = (13 − 3𝑣)/2 Putting value of u (4) 5u – 4v = 2 5((13 − 3𝑣)/2)−4𝑣=−2 MultiplyingQuickMath will automatically answer the most common problems in algebra, equations and calculus faced by highschool and college students The algebra section allows you to expand, factor or simplify virtually any expression you choose



Let The Line X 2 3 Y 1 5 Z 2 2 Lie In The Plane



Finding Linear Equations
Is it y or x as the power of x ?For the first question there are two possible sets of x and ytex2^x3^y=17\\\\17=Solve your math problems using our free math solver with stepbystep solutions Our math solver supports basic math, prealgebra, algebra, trigonometry, calculus and moreSimple and best practice solution for 2/x3/y=2 equation Check how easy it is, and learn it for the future Our solution is simple, and easy to understand,



2



3 2x 2 3y 5 5 X 3 Y 1
Use the power rule, dy/dx = nx^ (x1) d y d x = n x x − 1 , on the first term 2x (3d (xy))/dx (d (y^2))/dx= (d (0))/dx 2 x 3 d ( x y) d x d ( y 2) d x = d ( 0) d x Use the product rule, (d (xy))/dx= dx/dxyxdy/dx = y xdy/dx d ( x y) d x = d x d x y x d y d x = y x d y d xExtended Keyboard Examples Upload Random Compute answers using Wolfram's breakthrough technology & knowledgebase, relied on by millions of students & professionals For math, science, nutritionIn the equation 3(y2)2,329=19, the values of y are



Chapter Resources Volume 1 Chapters 1 5 Mathnmind



Slove For X And Y 2 X 3 Y 17 2 X 2 3 Y 1 5 Brainly In
Solve the given inequalities 3x y ≥ 12, x y ≥ 9, x ≥ 0, y ≥ 0graphically in two – dimensional plane asked Jul 22 in Linear Equations by KumarArun ( Solve The Equation X 3 X X 1 X 3 X X 1 2 Youtube X 2 ( − 2 x − 8) y y 2 − 8 x = 0 all equations of the form ax^ {2} bx c=0 can be solved using the quadratic formula \frac { b±\sqrt {b^ {2} 4ac}} {2a} the quadratic formula gives two solutions, one when ± 2^x 3^y=17 2^x 23^y 1=51) 3 2) 2 3) 1 4) 0 236 5 Previous Next If 2^x3^y=17 and 2^(x2)3^(y1)=5 then what is the value of x ?



The System Y 2x2 4 Xy 2 X 5y2 3y 16 Has An Chegg Com



Mathematics Ii Tranquileducation
Resolvemos la ecuación 3(2x5) 8x 6 = (x/2) (5x3) paso a pasoClick here👆to get an answer to your question ️ If x 2 3 y 1 1 = 10 5 Find values of x and yGiven 2^x=3^y=6^z Lets assume that each and every term is equal to k Which implies 2^x=k Now by applying logarithm on both sides we get x=log k to base 2 and 1/x= log 2 to base k And 3^y=k Again by applying logarithm on both sides we get y=lo



Engineering Mathematics Notes



5 X 3 Y 1 3 2x 2 3y 5 Brainly In
Ответов 1 на вопрос Система 2^x3^y=17 2^{x2}3^{y1}=5 с решением, ответ на yznaycomResolver la ecuación 1/2(x1)(x3)=1/3(x3)1/6Para más ejercicios de este tipo, y más, consulta a) Nuestra lista "ECUACIONES FRACCIONARIAS PARTE I" ht SOLVING SYSTEMS OF EQUATIONS ALGEBRAICALLY How to Use the Elimination Method How to Use the Substitution Method 97 2 x 1 5 x ≥ 0 4 4 4 Simplify both sides of the equation x=3 Substitute 3 in place of x in one of the original equations y = 2x y=2 3 y=6 The solution of the system is (3,6)Modeling Solve the following systems of equations by elimination



Solve The Ivp 25xy 25xy 9y 0 Y 1 3 Y 1 Chegg Com



1
Система 2 ^ x 3 ^ y = 17 2 ^ {x 2} 3 ^ {y 1} = 5 С решением, пожалуйста Ответить на вопрос Для ответа на вопрос необходимо пройти авторизацию или регистрациюUse the Substitution method to solve the system of equations 3x y = 5 4x 7y = 10 multiply first equation by 4 multiply second equation by 3 thus both equations have same x or y value in this case it is the x value 12x 4y



I Solve 2x 3y 17 2x 2 34 1 5



If 2 Power X 3 Power Y 17 And 3 2 Power X 2 3 Power Y 6 Then X And Y Brainly In



Example 17 Solve 2 X 3 Y 13 5 X 4 Y 2 Examples



Solve The Following Systems Of Equations 2 3x 2y 3 3x 2y 17 5 5 3x 2y 1 3x 2y 2 Sarthaks Econnect Largest Online Education Community



Finding Linear Equations



Graph Graph Inequalities With Step By Step Math Problem Solver



3d Book Matrix B Nandin Erdene Darhan Oic Flip Book Pages 1 6 Pubhtml5



Solved U 11 17 ص At Di 2 د واجب3 Docx Dy Find Dx 1 Y Chegg Com



Random Phpapp02 52 Backup



2xi I 3y 17 2x 2 3y 1 5 Maths Pair Of Linear Equations In Two Variables Meritnation Com



Ex 3 6 1 Iii Iv 4 X 3y 14 3 X 4y 23 Ex 3 6



Example 17 Solve 2 X 3 Y 13 5 X 4 Y 2 Examples



Finding Linear Equations



Blogjpmbahebyvn コンプリート 2 X 3 Y 17 2 X 2 3 Y 1 5 50



Q Solve The Equation By Elimintion Method 2x 3y 17 2x 2 3y 1 5 Maths Pair Of Linear Equations In Two Variables Meritnation Com



Files Eric Ed Gov Fulltext Ej Pdf



Find X And Y 2 X 3 Y 17 And 2 X 2 3 Y 1 5answer Is X 3 Y 2 Brainly In



Graph The System Of Linear Equations Solve The Chegg Com



Snapsolve



By The Substitution Method Solve The Linear Equation That Is 8 X 5 Y Is Equal To 9 And 3 X 2 Y Is Equal To 4 Mathematics Topperlearning Com Usvpr6ll



If 3x 2y 24 And 2x 3y 18 Then Find X Y And X Y



1



Problems In Problems 1 12 Find Y By Using Chegg Com



5 X 3 Y 1 3 2x 2 3y 5 Find The Value Of X Y By Substitution Method To Be A Brainliest Brainly In



2



Given A 2 2 4 4 2 4 2 1 5 B 1 1 0 2 3 4 0 1 2 Find Ba And Use This To Solve The System Of Equations Y 2x 7 X Y 3 2x 3y 4z 17



Ex 3 6 1 V And Vi 7x 2y Xy 5 8x 7y Xy 15



A Line L Sub 1 Sub Passes Through The Points 2 3 And 1 6 And Is Perpendicular To L Sub 2 Sub At 1 6



Math Exercises Math Problems Systems Of Linear Equations And Inequalities



Solve The Ivp 25x2y 25xy 9y 0 Y 1 3 Y 1 Chegg Com



14 Solve For U X V And Z In The Matrix Equation Chegg Com



2 X 2 3y 1 6 And 3 X 2 Y 0 Problem Set 1 Q6 1 Of Linear Equation In Two Variables Youtube



Ex 3 2 11 If X 2 3 Y 1 1 10 5 Find X And Y



Free Math Answers Answers Within 24 Hours Step By Step Explanations



यद 2 X 3 Y 17 और 2 X 2 3 Y 1 5 ह त X क म



Solve The Pair Of Equations 2 X 3 Y 17 2 X 2 3 Y 1 5 Brainly In



2



1 A Solve For X In The Equation 1 3 X 1 5 X Gauthmath



Classroomweb Pusd11 Net Sites Jmartin Shared documents Brief calculus Ch 3 3 2 worked out solutions Pdf



Evaluate An Expression Evaluate X 3 Y 2 For X Chegg Com



15 62 1 0 30 8 2 16 3 2 6 Are Parallel See Chegg Com



2



How Do You Find The Equations Of The Tangent Lines To The Curve Y X 1 X 1 That Are Parallel To The Line X 2y 2 Socratic



Solve The Equation To Find The Value Of X And Y Using Elimination Method Q 2x 3y 172x 2 3y 1 5 Maths Pair Of Linear Equations In Two Variables Meritnation Com



Solve 5 X 1 1 Y 2 2 And 6 X 1 3 Y 2 1 Studyrankersonline



Graphing Parabolas



Algebra Calculator Tutorial Mathpapa



Solve The Fullowing For X And Y 3 X 17 And 2 X Cdot 2 3 X 1 5



Solve Equations With Square Roots Elementary Algebra



Www Waynesville K12 Mo Us Cms Lib07 Mo Centricity Domain 603 A1 c6 l2 solution key worked out Pdf



Engineering Mathematics Notes



If 3x 2y 5 And 3y 2x 3 Then Find The Value Of X Y Scholr



Misc 16 Solve Equations 2 X 3 Y 10 Z 4 4 X 6 Y 5 Z 1



2 X 3 Y 17 2 X 2 3 Y 1 5 Then The Value Of X And Y Is Brainly In



Constant Of Proportionality From Equation Video Khan Academy



Systems Of Linear Equations



Solve Quadratic Equations Using The Quadratic Formula Elementary Algebra



2raise The Power X 3 Raise To The Power Y 17 And 2 Raise To Power X 2 3raise To Powery 1 5 Find Brainly In



Engineering Mathematics Notes



Solve 2 X 2 3y 1 6 And 3 X 2 Y 0 And Hence Find A For Which Y A X 4 Youtube



Www Waynesville K12 Mo Us Cms Lib07 Mo Centricity Domain 603 A1 c6 l2 solution key worked out Pdf



2



Www Richlandone Org Cms Lib Sc Centricity Domain 22 Algebra1 days 6 10 Pdf



Exercise 1 2 Cramer S Rule Problem Questions With Answer Solution



If 2x 3y 17 And 2x 2 3y 1 5 Then Y Brainly In



Solve 1 2 X 2y 5 3 3x 2y 3 2 5 4 X 2y 1 5 3x 2y 61 60 Mathematics Topperlearning Com 56o23roo



3



Solve 2 X 3 Y 17 2 X 2 3 Y 1 5 Find X And Y Youtube



Search Q Solve For X Tbm Isch



X Y 3 Br 2x 3y 4z 17 Br Y 2z 7



Www Waynesville K12 Mo Us Cms Lib07 Mo Centricity Domain 603 A1 c6 l2 solution key worked out Pdf



Solved Example Problems For Regression Analysis Maths



Solving Systems Of Linear Equations Lesson Article Khan Academy



Given A 2 2 4 4 2 4 2 1 5 And B 1 1 0 2 3 4 0 1 2 Then Find Ba And Use This To Solve The System Of Equations Y 2z 7 X Y 3 2x 3y 4z 17 Studyrankersonline



Solve The Following Systems Of Equations 1 2 X 2y 5 3 3x 2y 3 2 5 4 X 2y 3 5 3x 2y 61 60 Sarthaks Econnect Largest Online Education Community



2



How Do You Solve The System 2 X 4 Y 6 3x 2 Y 3 13 Socratic



2 X 3 Y 17 2 X 2 3 Y 1 5 Find X And Y Maths Meritnation Com



Introductory Mathematical Analysis Textbook Solution Manual



Ml Aggarwal Solutions For Class 9 Maths Chapter 5 Simultaneous Linear Equations


0 件のコメント:
コメントを投稿